Page 1 of 1
Импеданс. Основные формулы и методы измерения
Posted: 24 Sep 2017, 22:21
by UR5FFR
Базовые формулы для вычисления КСВ

- swr2.png (9.28 KiB) Viewed 15914 times

- swr1.png (2.73 KiB) Viewed 15914 times
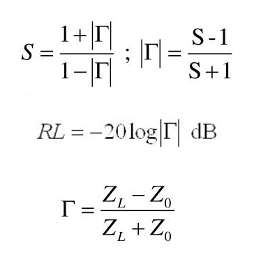
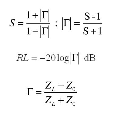
Некоторые основные соотношения между SWR (
S), gamma (
Г) и return loss (
RL)

- swr-gamma-rl.png (35.29 KiB) Viewed 26124 times
Z = Zo * ((1 + Γ) / (1 - Γ))
В данных формулах используется модуль коэффициента согласования gamma, который изначально является комплексной величиной.
Справедливо следующее соотношение

- gamma-z.png (4.77 KiB) Viewed 26124 times
Коэффициент отражения по входу S11, который приводят в справочниках на ВЧ транзисторы это тот же самый gamma (
Г), но обычно его задают в полярной форме в виде пары magnitude/angle. Перевод в декартову систему
Г = mag*cos(ang) + j*mag*sin(ang)
В сети есть онлайн калькуляторы для пересчета S11 в импеданс, например
https://owenduffy.net/calc/s2z.htm
Зависимость КСВ от комплексного импеданса нагрузки

- formula-SWR-ZL.jpg (29.56 KiB) Viewed 22776 times
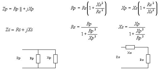
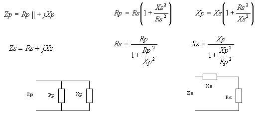
Для преобразования последовательного в параллельное соединение и обратно полезны следующие формулы

- seq-par.png (26.46 KiB) Viewed 26122 times

- KImage40.gif (3.21 KiB) Viewed 13735 times
Литература
1.
Impedance Matching. By David Knight G3YNH and Nigel Williams G3GFC
2.
Что такое входное сопротивление антенны и что с ним делать? LY3BG
Re: Измерение комплексного импеданса
Posted: 17 Apr 2018, 00:03
by UR5FFR
Для устранения ошибок измерения в векторных анализаторах используют метод OSL (open/short/load). Математика следующая (все вычисления проводятся с комплексными величинами):

- 2018-04-17 at 00-01-08.png (63.01 KiB) Viewed 25278 times
Для калибровки нужны три известные нагрузки. Например 5/50/500 ом. В случае если в качестве нагрузок используется 50ом, замкнутый и разомкнутый вход то коэффициенты коррекции могут быть получены напрямую. Для этого вспомним значения
Г которые должны быть получены на этих нагрузках:

- gamma_cal_1.png (19.76 KiB) Viewed 22842 times
Подставляя их в систему уравнений и разрешая ее получим значения коэффициентов

- gamma_cal_2.png (35.6 KiB) Viewed 18699 times
Тут
Г50R,
Гopen и
Гshort - измеренные значения
Г на соответствующих нагрузках
Измерение комплексного импеданса с помощью КСВ-метра
Posted: 02 Oct 2020, 20:11
by UR5FFR
Данный метод используется в антенном анализаторе SWR Mouse
Если вы знаете значение КСВ то это окружность нагрузок в декартовой комплексной плоскости R+jX (не диаграма смит). Если вы последовательно с неизвестной нагрузкой включите что-то дополнительное с импедансом a+jb и измерите КСВ то нарисуете еще одну окружность у которой центр будет смещен на эти самые a+jb. В результате пересечения графиков вы сразу находете два возможных значения комплексного импеданса нагрузки. Можно сделать и третье измерение - тогда получите однозначное решение. Именно так у меня работает антенный анализатор SWR Mouse - измеряется КСВ нагрузки два раза, причем во втором случае последовательно с нагрузкой включается резистор небольшого номинала - у меня 50ом. В итоге после простейших вычислений имеем активную и реактивную составляющую импеданса нагрузки (реактивная без знака).
Код вычисления комплексного импеданса по двум точка КСВ с Rдоп=0 и Rдоп=50
Code: Select all
procedure CalcImpedance(s1,s2: double; var re,im: double);
const
dR = 50; // номинал дополнительного резистора
var
c1,c2,r1,r2: double;
begin
// центры и радиусы
c1:=25*(s1+1.0/s1);
r1:=25*(s1-1.0/s1);
c2:=25*(s2+1.0/s2)-dR;
r2:=25*(s2-1.0/s2);
// пересекаем
re:=(r1*r1-r2*r2-c1*c1+c2*c2)/(2*(c2-c1));
if re < 0 then
re:=0;
im:=r1*r1-(re-c1)*(re-c1);
if im > 0 then
im:=Sqrt(im)
else
im:=0;
end;
Применение этого метода в автоматическом антенном тюнере может существенно сократить время настройки. Алгоритм тюнера сводится к тому чтобы сделать два измерения КСВ, рассчитать две цепи согласования и методом проверки выяснить какая из них подходит т.к. знак реактивки неизвестен. Для пуристов можно уточнить найденное решение градиентным спуском.